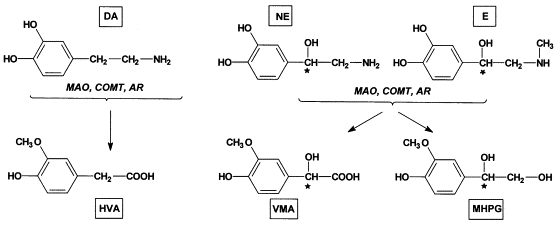
Metanephrine and normetanephrine are metabolic products of epinephrine and norepinephrine. Norepinephrine is synthesized from tyrosine via dopa and dopamine in the brain, chromaffin tissue, and sympathetic nerve endings. Epinephrine is formed from norepinephrine in adrenal chromaffin cells. Both compounds are inactivated by catechol-O-methyl transferase to form normetanephrine and metanephrine. Some normetanephrine and metanephrine is converted to vanillylmandelic acid (VMA), which is the end product of catecholamine catabolism. VMA is excreted in urine in the free form. Urine contains small amounts of catecholamines and much larger amounts of metanephrine, normetanephrine, and VMA.
The biochemical diagnosis of pheochromocytoma depends on the demonstration of excessive production of these hormones. Pheochromocytoma occurs equally in men and women, primarily during the third through fifth decades of life. Pheochromocytoma usually secretes excess norepinephrine and causes hypertension that may be sustained or paroxysmal. Patients may also experience the sudden onset of headache, pallor, perspiration, and palpitation. These symptoms can persist for 10 to 60 minute’s duration.
Measurement of urine VMA is a more specific, but less sensitive, test than urine metanephrines for identifying patients with pheochromocytoma. The sensitivity of VMA is 90%, compared to 100% for urine metanephrines. For a patient with episodic hypertension, the 24 hour collection should begin with the onset of a spell. Elevations may also be associated with severe stress and hypertension.
VMA is also useful for diagnosis of neuroblastoma. Approximately 20% of patients with neuroblastoma excrete urinary homovanillic acid (HVA) but not VMA. Both VMA and HVA should be ordered simultaneously.
Urinary VMA is measured by liquid chromatography tandem mass spectrometry. The adult reference range is 0 to 8 mg per 24 hours in adults.
Specimen requirement is a 24-hour urine collected in a container with 25 mL of 50% acetic acid. The specimen should be kept cold during the collection.
References
Barco S, et al. Urinary homovanillic and vanillylmandelic acid in the diagnosis of neuroblastoma: report from the Italian Cooperative Group for Neuroblastoma. Clin Biochem. 2014;47(9):848-852.
Soldin SJ, Hill JG. Liquid chromatographic analysis for urinary 4-hydroxy-3-methoxymandelic acid and 4-hydroxy-3-mehoozyphenylacetic acid and Its use in investigation of neural crest tumors. Clin Chem. 1981; 27(3):502-503.

How to resolve AdBlock issue?